搜索
首 页
对照品
标准品
标准物质
实验试剂
培养基
菌种购买
新闻中心
联系我们
当前位置:
标准品
>
标准品
>
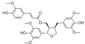
9-O-阿魏酰基-5,5'-二甲氧基落叶松树脂醇标准品
【编号】:VIP(X)1261
【产品名称】:9-O-阿魏酰基-5,5'-二甲氧基落叶松树脂醇标准品
【规格】:5mg
【价格】:4500元
9-O-阿魏酰基-5,5'-二甲氧基落叶松树脂醇标准品
编号:VIP(X)1261
英文:9-O-Feruloyl-5,5'-dimethoxylariciresinol
CAS号:166322-14-1
分子式:C32H36O11
结构图:
规格:可定做:10mg;20mg;50mg;100mg
声明:此对照品、标准品由【中检计量】提供网站查询购买服务
注:点击cas,或者搜索:名称、编号、cas均可显示价格
上一篇:
异落叶松脂素标准品
下一篇:
癸二异西里香脂醇标准品
产品明细
·
usp标准品
·
进口标准品购买
·
TRC标准品
·
化学标准品
·
英国药典对照品
·
欧洲药典标准品
·
农药标准品
·
中药标准品
·
TLC标准品
·
dr标准品
热销产品
新品上架
·
盐酸阿米洛利杂质(4-氨基-6-氯-1,3-苯基二硫酰胺)
·
核黄素磷酸钠混合物
·
苯噻清分析标准品
·
特丁噻草隆标准溶液
·
人参皂苷Rb1对照品
·
α-甲基吡啶对照品
·
环己二胺二硝酸合铂 (供奥沙利铂杂质Ⅰ检查)
·
5-羟基色氨酸对照品
·
曲克芦丁对照品
·
7-羟基-5,8-二甲氧基黄烷酮对照品
·
锗标准溶液 1000μg.mL
·
昆布二糖标准品
·
昆布六糖标准品
·
锐顶镰孢
·
云芝栓孔菌
·
巴西曲霉
·
黑色附球孢菌
·
紫花洋地黄苷B标准品(Purpureaglycoside B)
·
紫花洋地黄苷A标准品(Purpureaglycoside A)
·
肺炎克雷伯菌=ATCC700603
产品推荐
相关产品
·
M265470 3-甲氧基-6-苯基磺酰基甲基-6,7-二脱氢雌二醇标准品
·
BTB688918 8-溴-3-碘咪唑并[1,2-a]吡嗪标准品
·
ASD-D-5059-A-07 Lead in Gasoline Level 7 标准品
·
011518-01 可丁尼标准品 1000mg/L于甲醇,1 ml
·
A603130 9-Amino Camptothecin Carboxylate Sodium Salt
·
90584 甜橙黄酮
·
B693625 (2R,4R)-rel-N-tert-Butyloxycarbonyl-4-methyl-2-piperidinecarboxylic Acid Benzyl Ester
·
010508-01 Mineral Oil
·
A614180 D-Allo-threoninol标准品
·
B209962 苄达明-N-氧化物-d6标准品(Benzydamine-d6 N-Oxide)
·
TB683615 6-溴-2,3-二氢-1H-吲哚-2-甲醇标准品
·
JI20970 谷氨酸棒杆菌
·
M263102 2-(Methoxymethoxy)-1,3-propanediyl Dibenzoate-d5
·
110711 镁试剂Ⅰ, AR
·
VIP(LA)108021 氨曲南杂质13标准品
·
BLD20-2105-1-4 6(Z),9(Z),12(Z),15(Z),18(Z)-二十一碳五烯酸甲酯标准品
·
010013-05 苊标准品
·
USP-1098062 头孢丙烯标准品(Cefprozil)
·
YJ-135027 R2A琼脂对照培养基
·
I825030 3,4-O-Isopropylideneepilincomycin标准品
首 页
|
对照品
|
标准品
|
标准物质
|
实验试剂
|
培养基
|
菌种购买
|
新闻中心
|
联系我们
|
网站地图
2011-2018 中检计量-莱耀生物@版权所有