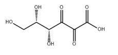
2,3-二酮古洛糖酸标准品
| 【编号】:VIP(Z)129011 【产品名称】:2,3-二酮古洛糖酸标准品 【规格】:100mg;HPLC≥90% 【价格】:12000元 ![]() 2,3-二酮古洛糖酸标准品
编号:VIP(Z)129011
英文:2,3-Diketogulonic Acid
规格:10mg
![]()
CAS号:3445-22-5
分子式:C6H8O7
分子量:192.12
产品类别:杂质对照品,由国家标准品网www.gbw.org.cn提供
注:搜索产品名称、编号、cas号即可显示价格
|
| 上一篇:Ascorbic Acid 3-Sulfate | 下一篇:2-酮基-L-古龙酸标准品 |
|---|
热销产品 新品上架
产品推荐 相关产品
- ·VIP(FK)R1461 对乙酰氨基葡萄糖醛酸钾盐标准品
- ·D450182 (20R)-17α,20-Dihydroxycholesterol-d7
- ·B207892 N-(2-Benzoyl-4-chlorophenyl)formamide-d5
- ·C15105100 2-甲基-3-硝基苯甲醚标准品
- ·OP087 脱氧卡巴氧-D3标准品(Desoxycarbadox-D3)
- ·ASD-AS-E0059 N-亚硝基二甲胺标准溶液 5.0 mg/mL于甲醇, 1mL
- ·M267400 6-甲氧基喹啉标准品
- ·90602 金石蚕苷
- ·NRCC-PACS-3 海洋沉积物认证的微量元素和其他成分参考物质
- ·VIP(DY)2087 党参苷I标准品



