依维莫司-D4标准品
| 【编号】:VIP(Y)1102 【产品名称】:依维莫司-D4标准品 【规格】:500ug 【价格】:3500元 ![]() 依维莫司-D4标准品
货号:VIP(Y)1102
英文:Everolimus-d4
规格:10mg
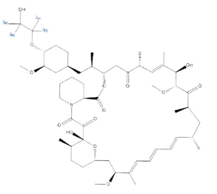
结构式:
![]()
CAS号:1338452-54-2
分子式:1338452-54-2
分子量:962.26
产品类别:依维莫司
声明:此对照品、标准品由【中检计量】提供查询购买服务
注:点击cas,或者搜索:名称、编号、cas均可显示价格
|
| 上一篇:依维莫司-13C2-D4标准品 | 下一篇:依维莫司杂质F标准品 |
|---|
热销产品 新品上架
产品推荐 相关产品
- ·BTB105003 Brivaracetam (alfaS, 4S)-Isomer
- ·BTC266 克霉唑EP杂质E标准品
- ·BTC016 坎地沙坦酯杂质B标准品
- ·BTLB-271 生物素标准品
- ·BTC101001 丙酸氯倍他索标准品(Clobetasol Propionate)
- ·BTC225 氯唑沙宗标准品(Chlorzoxazone)
- ·BTLB-3713 盐酸溴己新-d3标准品
- ·BTC1333 Clopidogrel 3-Sulfonated Impurity
- ·BTC3523 卡培他滨杂质7标准品
- ·BTC162009 头孢孟多杂质3标准品
- ·MM0624.02 (Z) -[5-氟-2-甲基-1-[4-(甲基磺酰基)亚苄基]-1H-茚-3-基]乙酸(舒林酸
- ·107320 多烯紫杉醇, 98%
- ·F700300 N-甲酰地洛他定标准品
- ·F113776 法呢醇,95%,异构体的混和物
- ·A634485 2-((2-Amino-6-methylpyrimidin-4-yl)amino)-N-(4-chlorophenyl)acetamide
- ·LD3625 地塞米松磷酸钠杂质H标准品
- ·VIP(CT)901654 蟾毒它灵标准品
- ·H605000 (+/-)-高脯氨酸标准品
- ·VIP(CT)700204 氧嗪酸钾标准品
- ·P338205 (3β,5α)-5,8-[N,N-(4-Phenylurazole)]-cholest-6,22-diene-3,25-diol 25-Tetrahydropyranyl Eth



