丙酸氟替卡松杂质VII对照品
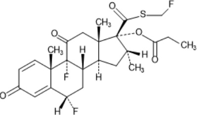
| 【编号】:YJ-510220 【产品名称】:丙酸氟替卡松杂质VII对照品 【规格】:20mg 【价格】:900元 ![]() 丙酸氟替卡松杂质 VII对照品 Fluticasone Propionate Impurity VII 【类别】化学对照品 【批号】510220-202101 【结构式】 ![]() 【分子式】C25H 29 F3 O5 S 【分子量】498.56 【CAS 号】1219174-94-3 【用途】供 HPLC 法检查用。 【使用方法】使用前不需干燥处理。 【包装】棕色内胆瓶 【规格】20mg/支 【贮藏】遮光,密闭,-20℃保存。 类型:丙酸氟替卡松杂质 |
| 上一篇:丙酸氟替卡松杂质VI对照品 | 下一篇:没有了 |
|---|
热销产品 新品上架
产品推荐 相关产品
- ·SPR02828 2',4'-二羟基-4,6'-二甲氧基查尔酮对照品
- ·SPR02973 Mirabijalone D对照品
- ·PRC0221 Physoperuvine对照品
- ·VIP(CT)600141 三环锡标准品
- ·PR1458 黄腐醇对照品
- ·LY1316 欧夹竹桃苷对照品
- ·VIP(DS)1667 莪术双环烯酮对照品
- ·VIP(AS)04023 乙酰半胱氨酸杂质4标准品
- ·VIP(TC)10550 虱螨脲标准品
- ·S-075 α-三联噻吩对照品
- ·VIP(N)34714-1 猫瘟病毒脱氧核糖核酸液体室内质控品
- ·010042-01 2-氯萘标准品 1000mg/L于甲醇,1 ml
- ·MM1092.00 西司他丁钠标准品
- ·104061 氯胺T 三水合物, AR,>98.0%(T)
- ·ATCC33389 Aggregatibacter aphrophilus
- ·MM0503.04 普伐他汀钠杂质D标准品
- ·G450000 4-O-α-D-Glucopyranosylmoranoline
- ·YJ-100906 氢化可的松琥珀单酯
- ·VIP(XL)80796 双(3-乙基-5-甲基-4-马来酰亚胺基苯基)甲烷对照品
- ·BCR-691 COPPER ALLOYS (As, Pb, Sn and Zn)



