丙酸氟替卡松杂质II对照品
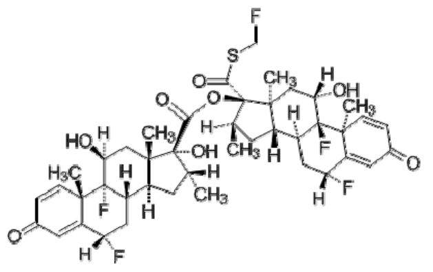
| 【编号】:YJ-510222 【产品名称】:丙酸氟替卡松杂质II对照品 【规格】:20mg 【价格】:2200元 ![]() 丙酸氟替卡松杂质 II对照品 Fluticasone Propionate Impurity II 【类别】化学对照品 【批号】510222-202101 【结构式】 ![]() 【分子式】C43H 51 F5 O8 S 【分子量】822.93 【CAS 号】220589-37-7 【用途】本品供 HPLC 法检查用。 【使用方法】使用前不需干燥处理。 【包装】棕色西林瓶 【规格】20mg/支 【贮藏】遮光,密闭,-20℃保存。 类型:丙酸氟替卡松杂质 |
| 上一篇:丙酸氟替卡松杂质VII对照品 | 下一篇:没有了 |
|---|
热销产品 新品上架
产品推荐 相关产品
- ·YJ-150700 醋酸亮丙瑞林对照品
- ·VIP(d)0146 香叶木素-7-O-β-D-葡萄糖苷对照品
- ·PR3092 花柏醛对照品
- ·PR0811 岩大戟内酯B对照品
- ·SPR00307 Formosanol对照品
- ·VIP(DS)0527 β-桉叶醇对照品
- ·VIP(CT)300343 奥硝唑标准品
- ·VIP(CT)600049 3,4-二氯苯酚标准品
- ·VIP(F)0712 广山药对照药材
- ·YJ210010 脑膜炎奈瑟氏菌诊断血清国家参考品I
- ·MM0003.01 硝苯地平抑制剂B(EP):2,6-二甲基-4-(2-硝基)二甲基标准品
- ·A130795 (S)-醋硝香豆素标准品
- ·VIP(IR)115313S 四氢孕酮溶液标准品
- ·OTS-020268-09 环己酮标准品 4000mg/L于P/T甲醇,1 ml
- ·G931500 GW501516标准品
- ·VIP(P)144624 2甲4氯-二甲胺溶液标准物质
- ·YJ-190023 鞘磷脂对照品
- ·USP-1297001 人绒毛膜促性腺激素(Human Chorionic Gonadotropin)
- ·M292840 3-甲基-1-苄基哌嗪标准品
- ·BTLA-129003 抗坏血酸杂质H标准品



