丙酸氟替卡松杂质Ⅷ对照品
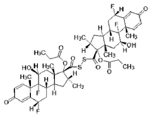
| 【编号】:YJ-510225 【产品名称】:丙酸氟替卡松杂质Ⅷ对照品 【规格】:20mg 【价格】:1000元 ![]() 丙酸氟替卡松杂质Ⅷ对照品 Fluticasone Propionate Impurity Ⅷ 【类别】化学对照品 【批号】510225-202201 【结构式】 ![]() 【分子式】C48H 58 F4 O10S 2 【分子量】935.10 【CAS 号】201812-64-8 【用途】供 HPLC 法检查用。 【使用方法】使用前不需干燥处理。 【包装】棕色内胆瓶 【规格】20mg/支 类型:丙酸氟替卡松杂质 |
| 上一篇:丙酸氟替卡松杂质III对照品 | 下一篇:没有了 |
|---|
热销产品 新品上架
产品推荐 相关产品
- ·S-115 山羊豆碱对照品
- ·YJ-100458 硫必利杂质B【2-甲氧基-5-甲磺酰基苯甲酸甲酯】
- ·YJ-190013 DL-苹果酸对照品
- ·VIP(CT)101359 威百亩二水合物标准品
- ·YJ-510153 二甲砜对照品
- ·PR0249 小檗胺对照品
- ·YJ-420013 枸橼酸托烷司琼对照品
- ·VIP(CT)700991 4-氯苯胺-3-磺酸标准品
- ·PR0654 人参皂苷F2对照品
- ·VIP(XL)80071 甲福明对照品
- ·BTB688318 4-溴-1-(四氢-2H-吡喃-2-基)-1H-吡唑标准品
- ·D476492 α,α'-Dimethyldiphenethylamine-d6 Hydrochloride标准品
- ·VIP(PN)155559 啤酒中酒精度质控样品
- ·SZY0098 断血流提取物
- ·A611820 3-[(氨基亚氨基甲基)硫基]-2-氯-丙酸盐酸盐标准品
- ·121626 氰乙酸叔丁酯, 98%
- ·VIP(X)180670 1-烯丙基-3,5-二甲基吡唑对照品
- ·RYA12370100ME 1,2-二氯苯-D4标准品 2000ng/ul于甲醇
- ·NCTC13497 Chryseobacterium ureilyticum
- ·A168045 N-Acetyl-S-(2-carboxyethyl)-L-cysteine Bis(dicyclohexylamine) Salt



