丙酸氟替卡松杂质Ⅸ对照品
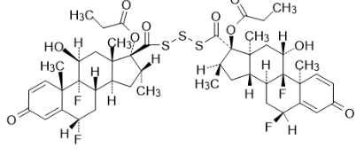
| 【编号】:YJ-510226 【产品名称】:丙酸氟替卡松杂质Ⅸ对照品 【规格】:20mg 【价格】:1000元 ![]() 丙酸氟替卡松杂质Ⅸ Fluticasone Propionate Impurity Ⅸ 【类别】化学对照品 【批号】510226-202301 【结构式】 ![]() 【分子式】C48H 58 F4 O10S 3 【分子量】967.16 【CAS 号】960071-64-1 【用途】供 HPLC 法检查用。 【使用方法】使用前不需干燥处理。 【包装】棕色西林瓶 【规格】20mg/支 【贮藏】遮光,密闭,-20℃保存。 类型:丙酸氟替卡松杂质 |
| 上一篇:丙酸氟替卡松杂质Ⅷ对照品 | 下一篇:没有了 |
|---|
热销产品 新品上架
产品推荐 相关产品
- ·VIP(CT)700247 L-硫代脯氨酸标准品
- ·LY1287 2''-O-鼠李糖基淫羊藿次苷II
- ·YJ-140725 二十二碳六烯酸乙酯对照品
- ·A0461 文多灵对照品
- ·YJ-190227 聚乙二醇20000对照品
- ·PR0972 肉豆蔻木脂素对照品
- ·SPR01399 3-Acetoxy-4,7(11)-cadinadien-8-one
- ·YJ-510082 磺胺氯哒嗪对照品
- ·LY0832 三叶豆紫檀苷
- ·PRPG055 普罗瑞林对照品
- ·LD263 二十二碳六烯酸乙酯-d5标准品
- ·BW4MeTCS 4,5-Dichloro-2-(2,4-dichlorophenoxy)anisole (4-Chloro-methyltriclosan)
- ·M254000 N-(3-巯基-2-甲基丙酰基)甘氨酸标准品
- ·VIP(DS)1030 扁柏双黄酮对照品
- ·DGA09000532HE 6种邻苯二甲酸酯混标(GB/T 21294-2014)
- ·BTLB-0724 丁螺环酮杂质3标准品
- ·ALR-117N 对羟基苯甲酸庚酯标准品
- ·ASD-P-054S-10X 环氧七氯B标准品 1.0 mg/mL于甲醇, 1mL
- ·VIP(CT)11645 对硫磷标准品
- ·VIP(AS)01005 伐地那非EP杂质A标准品



